1. 개요
지수함수와 로그함수로부터 파생되는 지수 방정식, 로그 방정식, 지수 부등식, 로그 부등식을 풀기 위해서는 밑을 같게 만들어줘야다. 서로 다른 지수나 로그의 밑을 같게 만들어주는 작업을 밑변환이라고 하는데 밑변환을 하는 이유는 서로 다른 차원(dimension)에 있는 항들을 같은 선상에서 비교하기 위해서다.
예를들어 우리나라 돈 1000원과 일본 돈 100앤의 가치를 비교하기 위해선 환율을 적용하여 기축통화인 미국 달러로 바꿔서 비교해야 한다. 또한 평균이 60점, 표준편차 10점인 정규분포를 따르는 집단에서 75점을 받은 학생과 평균이 40점, 표준편차 20점인 정규분포를 따르는 집단에서 70점을 받은 학생중 누가 더 우수한 학생인가를 비교하기 위해선 표준화(Z=(X-m)/σ)라는 작업을 거쳐 표준정규분포라는 동일한 분포속에서 비교해야한다. 이처럼 밑변환공식도 서로 다른 두 지수나 로그를 비교하기 위해 필요하다.
2. 지수의 밑변환 공식, 로그의 밑변환 공식
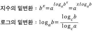
지수의 밑변환은 밑이 b인 지수를 밑이 a인 지수로 바꾸는 것을 의미하고, 로그의 밑변환식은 밑이 a로 되어있는 로그를 밑이 c인 로그로 변환시키는 것을 의미한다.

3. 공식 유도
i) 지수의 밑변환
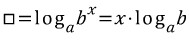
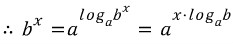
우리는 밑이 b로 주어진 지수를 밑이 a인 지수로 바꾸고자 한다. 이 문장을 간단한 수식으로 표현하면

여기서 네모(□)로 표현한 것이 새로운 지수에 들어갈 "지수"다. 이를 구하기 위해선 양변에 log(a)를 취해주면 된다. (또는 로그의 정의를 써서 네모를 구하면 된다.)

따라서 최종적으로 아래와 같이 지수의 밑변환을 정리할 수 있다.

//유도 완료
한편 위 식의 두번째 등호를 잘 보면, 다음 로그 공식으로도 식을 바라볼 수 있다.

ii) 로그의 밑변환
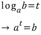
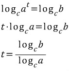
로그의 밑변환 공식 유도는 로그의 정의를 이용해서 구할 수 있다. 먼저, 변환하고자하는 로그를 정의를 써서 지수 형태로 바꿔보면,

위와 같이 되는데, t를 구하기 위해 양 변에 밑이 (a가 아니라) c인 로그를 취해주면 된다.

따라서 본래 t로 설정했던 밑이 a인 로그를 밑이 c인 위 식으로도 구할 수 있었다.

//유도 완료
4. 적용
여기서는 지수의 밑변환 공식에 관한 문제만 소개하겠다
<문제 1>
먼저 다음 명제부터 증명해보자

위 명제는 참이다. 간단한 예를 먼저 살펴보면, k=4, a=2라고 하면

가 되는데, 위 그래프는 y=2^x의 그래프를 x축으로 -2만큼 평해이동하여 겹칠 수 있는 그래프가 된다. 하지만 k=3, a=2라면 어떨까? 이 경우도 마찬가지로 증명할 수 있다.

이 경우 역시 x축으로 -log_2 3만큼 평행이동하여 그래프를 완전히 겹칠 수 있다. 여기선 계수 3을 밑변환을 통해 밑이 2인 지수로 바꿔줄 수 있었음에 주목하자. 바로 전에 들었던 예도 실은 계수 4를 똑같이 밑이 2인 지수로 바꿔줘서 얻은 결과다. 학생들이 4는 쉽게 2의 제곱으로 표현할 수 있다고 생각하는데, 이를 밑변환의 관점에서는 보지 않는다.
일반적인 증명을 알아보면,

즉 위 함수는 일반적인 지수함수 y=a^x에서 x축으로 -log_a k만큼 평행이동하면 완전히 겹칠 수 있는 함수가 된다. (주어진 a와 k의 범위에서 log_a k가 정의될 수 있다.)

<문제 2>
이제 다음 문제를 풀어보자

이 문제는 지수함수의 정점(定點)에 관한 문제다. 정점(定點)이란 말 그대로 정해진 점으로서 특정 함수가 항상 지나게 되는 기준점의 역할을 한다. 다음 지수함수

의 정점은 (0, 1)다. x에 0을 대입하면 a의 값에 관계없이 항상 1이라는 함수값이 나오기 때문이다

이를 다른 말로 표현하면 다음과 같다.
「모든 수의 0승은 1이다.」
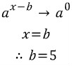
따라서, 주어진 함수에서 지수 부분에 해당하는 a^{x-b} 값이 1이 되는 그 때의 x값, 즉 x=b일 때가 바로 정점의 x좌표가 된다. 정점의 x좌표는 5로 주어져 있으므로 따라서 b는 5라는 걸 알 수 있다.

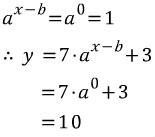
한편 정점에서는 지수 부분에 해당하는 값이 a의 값에 관계없이 항상 0승이므로 통째로 1이 되기 때문에 그 때의 y좌표는 아래와 같이 구할 수 있다.

따라서 그 때의 y좌표, 즉 c의 값은 10이 된다.


//완료
여기선 밑변환 공식으로 문제를 풀면 안 된다.

이렇게 바꿔서 정점을 x=b-log_a 7 일 때 발생한다고 생각하면 안 된다는 것이다. 물론 주어진 식을 밑변환을 통해 위처럼 x축으로 평행이동한 꼴로 바꿀 수는 있다. 그러나 그렇게 하면 지수부분에 log_a 7이 들어가게 되므로 "a의 값에 관계없이"라는 조건을 더 이상 사용할 수 없게 된다. 우리가 a의 값에 관계 없이 항상 성립하는 식을 만들고 싶은데 정점의 x좌표를 x=b-log_a 7 라 한다면 이미 a에 따라 점이 바뀌는 모순이 생겨버리기 때문이다. 따라서 이 경우엔 처음 소개한대로 문제를 풀어야 한다.
'그래픽스 > 수학 물리' 카테고리의 다른 글
| 동차 좌표계란? (0) | 2024.05.02 |
|---|---|
| 투영 행렬 유도와 ndc (0) | 2024.05.02 |
| 로그(log) 계산 공식 (상용로그, 자연로그) 총정리 (0) | 2024.04.24 |
| 2D AABB OBB 충돌 (0) | 2023.10.04 |
| 두 점 사이의 거리 구하기 (0) | 2023.09.03 |