ShovelingLife
A Game Programmer
ShovelingLife
전체 방문자
오늘
어제
  • 분류 전체보기 (1118)
    • 개인 프로젝트 (2)
      • Unity (2)
      • Unreal (0)
    • 그래픽스 (57)
      • 공통 (19)
      • 수학 물리 (22)
      • OpenGL & Vulkan (1)
      • DirectX (14)
    • 게임엔진 (191)
      • Unreal (69)
      • Unity (111)
      • Cocos2D-X (3)
      • 개인 플젝 (8)
    • 코딩테스트 (221)
      • 공통 (7)
      • 프로그래머스 (22)
      • 백준 (162)
      • LeetCode (19)
      • HackerRank (2)
      • 코딩테스트 알고리즘 (8)
    • CS (242)
      • 공통 (21)
      • 네트워크 (45)
      • OS & 하드웨어 (60)
      • 자료구조 & 알고리즘 (99)
      • 디자인패턴 (6)
      • UML (4)
      • 데이터베이스 (7)
    • 프로그래밍 언어 (377)
      • C++ (168)
      • C# (97)
      • Java (11)
      • Python (36)
      • SQL (44)
      • JavaScript (9)
      • React (7)
    • 그 외 (15)
      • Math (7)
      • 일상 (5)

블로그 메뉴

  • 홈
  • 태그
  • 방명록

공지사항

  • Source Code 좌측 상단에 복사 버튼 추가 완료
  • 언리얼 엔진 C++ 빌드시간 단축 꿀팁
  • 게임 업계 코딩테스트 관련
  • 1인칭 시점으로 써내려가는 글들

인기 글

태그

  • 티스토리챌린지
  • 배열
  • 문자열
  • 오블완
  • C
  • 유니티
  • 백준
  • 파이썬
  • Unity
  • 포인터
  • 알고리즘
  • string
  • 그래픽스
  • C++
  • c#
  • 언리얼
  • 함수
  • 클래스
  • SQL
  • python

최근 댓글

최근 글

티스토리

hELLO · Designed By 정상우.
ShovelingLife

A Game Programmer

그 외/Math

곱셈 공식 & 인수 분해 공식

2024. 12. 22. 12:03

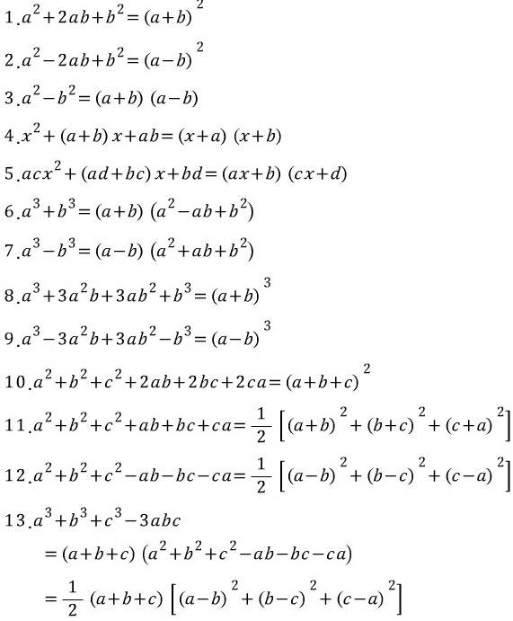
곱셈 공식

 

곱셈 공식 변형

 

인수 분해 공식

 

https://blog.naver.com/pss2072/220728228132

저작자표시 (새창열림)

'그 외 > Math' 카테고리의 다른 글

정수론 및 수 체계  (3) 2025.08.04
일차방정식 개념정리  (0) 2024.12.22
단항식 다항식  (0) 2024.12.22
두 점 사이의 거리 공식 구하기, 중점 구하기  (0) 2024.05.26
[수학] 순열, 조합 공식 총 정리  (0) 2023.10.09
    '그 외/Math' 카테고리의 다른 글
    • 정수론 및 수 체계
    • 일차방정식 개념정리
    • 단항식 다항식
    • 두 점 사이의 거리 공식 구하기, 중점 구하기
    ShovelingLife
    ShovelingLife
    Main skill stack => Unity C# / Unreal C++ Studying Front / BackEnd, Java Python

    티스토리툴바